日益频繁的人类活动以及持续加剧的气候变化正深刻改变着全球陆地表面的生物物理特性,进而引发陆表反照率(albedo)的变化。传统观点认为全球陆表反照率的变化及其在调节气温方面的作用非常有限。然而,全球陆地面积广达1.49亿平方公里,即使是微小的反照率变动也会产生不可忽视的辐射强迫,进而对全球温度变化产生重要的影响。因此,厘清全球陆表反照率的变化规律和驱动机制,对于科学应对气候变化,制定合理的全球气候变化应对策略具有重要的意义。然而,过去几十年来全球陆表反照率的变化趋势及其产生的辐射强迫效应仍未得到充分理解,目前仍然缺乏在全球尺度上的关于土地利用/土地覆盖(LULC)变化、冰雪融化、植被变化等因素对陆表反照率影响的系统评估。
北京师范大学和国内外科研机构合作,量化了2001-2020年间全球冰雪变化、LULC变化及未发生LULC变化区域陆表对全球陆表反照率动态的独立贡献,并估算了其产生的辐射强迫。首先,整合了500米分辨率的MODIS反照率、积雪覆盖和LULC产品,基于四种不同的LULC分类产品(LCCS 1-3和IGBP)构建了四个无缝的全球月度反照率和LULC查找表数据集(ALLUMs,图1),提供了2001-2020年全球范围每个1°×1°的网格内每种LULC类型的月度反照率变化,以及月度的LULC和冰雪变化信息。该数据集用于解析冰雪变化、LULC变化及未发生LULC变化区域的陆表变化对全球陆表反照率的贡献。

图1. 研究框架流程图
(a)构建ALLUMs,并计算LULC变化对全球陆表平均反照率变化及引发的辐射强迫的贡献。
(b)验证重建的 500 米分辨率晴空反照率。
(c)LULC未变化区域内光合植被(PV)、非光合植被(NPV)和地表含水量(SWC)对陆表反照率变化的贡献。
粉色和黄色方框中的数据分别代表 500 米分辨率的像元和网格尺度上的数据。
基于ALLUMs数据集,采用6种辐射核计算了陆表反照率变化导致的全球平均辐射强迫,2001-2020年全球陆表反照率变化所引发的辐射强迫为-0.142W/m²(图2),其中,无雪覆盖陆表区域的反照率显著增加了2.21%,导致了-0.164W/m²的辐射强迫,该辐射强迫是冰雪变化导致的正反照率辐射强迫的7倍,相当于2011-2019年间CO2排放导致的辐射强迫(数值为正)的59.94%。

图2. 2001-2020年陆表反照率变化产生的辐射强迫
(a) 全球平均、全球无雪区和雪动态所引起的辐射强迫的年际变化。虚线表示采用Theil-Sen中值法作为稳健统计方法的线性拟合,阴影区显示了6个辐射核计算结果的最大和最小值。
(b) 2001-2020年间由全球陆表反照率引起的辐射强迫变化趋势的空间分布。
(c) 从200-2020年由反照率引起的辐射强迫变化的空间分布。黑点表示两个独立时间窗口(2001-2010年和2011-2020年)之间辐射强迫变化具有统计显著性的区间。
(d)-(e) 从2001-2020年归因于无雪区(d)和雪动态(e)的辐射强迫的空间分布。
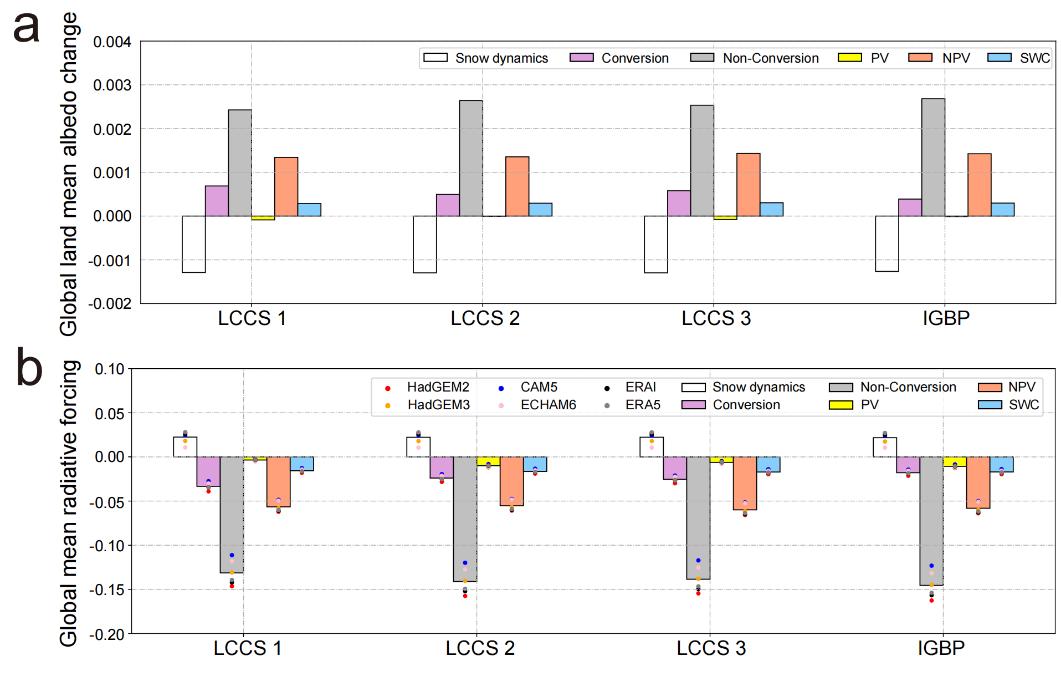
研究进一步发现,未发生LULC变化区域的陆表变化对全球陆表平均反照率变化的贡献远超LULC变化的贡献。在2001至2020年间,未发生LULC变化区域引发的全球平均辐射强迫是LULC变化区域的3.9至8.1倍(图3)。这一结果不同于传统上认为LULC变化是陆表反照率变化主要驱动因素的观点,表明未变化区域的长期生态变化,如植被演替和地表水分变化,在全球气候系统中发挥着关键作用。此外,研究还构建了基于光合植被、非光合植被和陆表水含量的多元回归模型,系统揭示了未发生LULC变化区域反照率变化的主要驱动机制。在未发生LULC变化的区域中,灌木和短自然植被类型导致的反照率负辐射强迫最大。其中,南半球光合植被减少与北半球非光合植被增加是反照率上升的主要驱动力。

图3. 反照率变化及其引起的辐射强迫
(a) 在四种LULC分类方案下,由不同因素引起的全球陆表平均反照率变化。
(b) 由反照率变化引起的全球平均辐射强迫。其中,白色、紫色和灰色柱状图分别表示由冰雪动态变化、LULC变化以及LULC未变化区域引起的反照率变化;绿色、橙色和蓝色柱状图分别表示光合植被(PV)、非光合植被(NPV)和地表含水量(SWC)的个体贡献。图(b) 中的圆点表示基于六种不同辐射核计算的全球平均辐射强迫值。
虽然以前的研究考察了人类引起的LULC变化(如森林砍伐)对气候的影响,但忽视了更渐进的、生态系统驱动的地表变化的全球影响。以上研究发现表明,微小的陆地表面动态,特别是在不受管理的生态系统中,在调节地球的能量收支方面发挥了重要的作用。将这些影响纳入未来的气候模式可提高预测的准确性,并为更全面的陆基气候减缓战略提供信息。
研究成果以“21世纪初陆表反照率升高导致辐射强迫降低”(Radiative forcing reduced by early 21st century increase in land albedo)为题,于2025年5月28日发表在《自然》(Nature)上。我校地理科学学部2021级博士生侯正阳为论文第一作者,地理科学学部教授张立强、北京大学物理学院大气与海洋科学系教授林金泰、中国科学院地理科学与资源研究所院士周成虎、河南省科学院空天信息研究所教授张良培为共同通讯作者。美国马里兰大学研究员彭菁菁,意大利佛罗伦萨大学教授Giovanni Forzieri,卢森堡科学技术研究所教授Aolin Jia,北京师范大学地理科学学部教授肖志强、研究员渠瀛、教授纪多颖、教授刘素红,河南省科学院空天信息研究所教授赵兰普、教授巫兆聪,北京大学地球与空间科学学院研究员范闻捷,北京师范大学地理科学学部研究生朱子栋、姚昕、彭淑雯、耿昊、王琪皓参与了研究。
上述研究得到了国家青年科学基金(A类,即原国家杰出青年科学基金项目41925006,资助期满后延续资助)等项目的资助。